Search for resonant production of high mass photon pairs using $12.9\,\mathrm{fb^{-1}}$ of proton-proton collisions at $\sqrt{s} = 13~\mathrm{TeV}$ and combined interpretation of searches at 8 and 13 TeV
PhenoData record added by Tristan Hosken

22-06-2017 11:42

Short URL: hepmdb.soton.ac.uk/phenodata?p=

Experiment:

Experiment type:

Energy: TeV

Luminosity: $fb^{-1}$

Public code:


Signatures:

Short description...

Leptons: 2

Jets: 2

MET

Charged Tracks

Uploaded by 10 months ago






Please click on the figure/table below to view/download data

No image
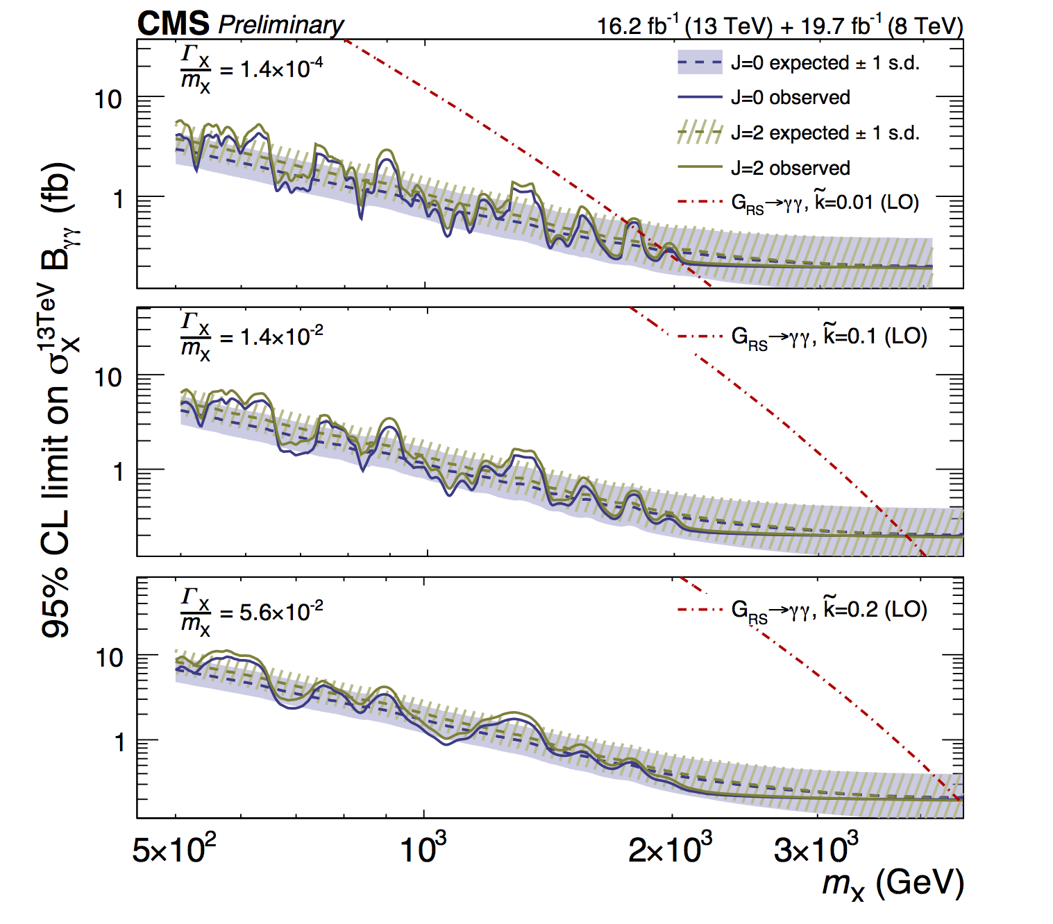
Fig. 7 top

Upper limits on the production of diphoton resonances as a function of the resonance mass mX....

Uploaded by Tristan Hosken 8 years ago

Nxzdyyh

Hello soton.ac.uk administrator, Your posts are always a great source of knowledge....

Uploaded by 1 year ago

eg: 1.1a

katana...

Uploaded by 10 months ago




Login or register to post comments...

Part of the HEPMDB project - University of Southampton